|  |  | 
Peter Luschny, 2010−08−18
| Contents | 
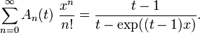
The Eulerian polynomials are defined by the exponential generating function

The Eulerian polynomials can be computed by recurrence:


An equivalent way to write this definition is to set the Eulerian polynomials inductively by


The definition given is used by major authors like D. E. Knuth, D. Foata and F. Hirzebruch. In the older literature (for example in L. Comtet, Advanced Combinatorics) a slightly different definition is used, namely


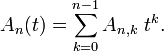
The coefficients of the Eulerian polynomials are the Eulerian numbers An,k [1],
 
 This definition of the Eulerian numbers agrees with the combinatorial definition in the DLMF [2]. The triangle of Eulerian numbers is also called Euler's triangle [3].
| 
 | 
 | 
Euler's definition An,k is A173018. The main entry for the Eulerian numbers in the database is A008292. It enumerates Cn,k with offset (1,1).
Let Sn denote the set of all bijections (one-to-one and onto functions) from {1, 2, …, n} to itself, call an element of Sn a permutation p and identify it with the ordered list p1 p2 … pn.
Using the Iverson bracket [.] the number of ascents of p is defined as

where pn+1 ← 0. The combinatorial interpretation of the Eulerian polynomials is then given by

The table below illustrates this representation for the case n = 4.
| p | asc | p | asc | p | asc | p | asc | 
| 4321 | 0 | 4231 | 1 | 2413 | 2 | 1423 | 2 | 
| 3214 | 1 | 2431 | 1 | 2134 | 2 | 1342 | 2 | 
| 3241 | 1 | 4312 | 1 | 2314 | 2 | 4123 | 2 | 
| 3421 | 1 | 3142 | 1 | 2341 | 2 | 1324 | 2 | 
| 4213 | 1 | 4132 | 1 | 3124 | 2 | 1243 | 2 | 
| 2143 | 1 | 1432 | 1 | 3412 | 2 | 1234 | 3 | 
The number of permutations of {1, 2, …, n} with n ascents (the central Eulerian numbers) are listed in A180056.

Eulerian polynomials in Institutiones calculi differentialis, 1755
Leonhard Euler introduced the polynomials in 1749 [4] in the form
 
 Euler introduced the Eulerian polynomials in an attempt to evaluate the Dirichlet eta function

at s = -1, -2, -3,... . This led him to conjecture the functional equation of the eta function (which immediately implies the functional equation of the zeta function). Most simply put, the relation Euler was after was

Though Euler's reasoning was not rigorous by modern standards it was a milestone on the way to Riemann's proof of the functional equation of the zeta function.
The facsimile shows Eulerian polynomials as given by Euler in his work Institutiones calculi differentialis, 1755. It is interesting to note that the original definition of Euler coincides with the definition in the DLMF, 2010.
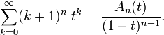
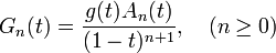
We call a generating function an Eulerian generating function iff it has the form

for some polynomial g(t). Many elementary classes of sequences have an Eulerian generating function. A few examples are collocated in the table below.
| Generating function g(t)An(t)/(1-t)n+1 | n = 0 | n = 1 | n = 2 | n = 3 | n = 4 | n = 5 | 
| g(t) = 1 − t2 | A019590 | A040000 | A008574 | A005897 | A008511 | A008512 | 
| g(t) = 1 − t | A000007 | A000012 | A005408 | A003215 | A005917 | A022521 | 
| g(t) = t | A057427 | A001477 | A000290 | A000578 | A000583 | A000584 | 
| g(t) = 1 + t | A040000 | A005408 | A001844 | A005898 | A008514 | A008515 | 
| g(t) = 1 + t + t2 | A158799 | A008486 | A005918 | A027602 | A160827 | A179995 | 
For instance the case
 
| A1(x) , A2(x) , A3(x) , A4(x) , A5(x) , A6(x) | 
| x | −1/2 | 1/2 | 3/2 | 
| 2nAn(x) | A179929 | A000629 | A004123 | 
| x | −2 | −1 | 0 | 
| An(x) | A087674 | A155585 | A000012 | 
| x | 1 | 2 | 3 | 
| An(x) | A000142 | A000670 | A122704 | 
Let ∂r denote the denominator of a rational number r.
| A122778 | An(n) | 
| A180085 | An(−n) | 
| A006519 | ∂(An(−1) / 2n) | 
| A001511 | log2(∂(A2n+1(−1) / 22n+1)) | 
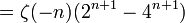
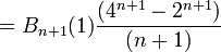
Eulerian polynomials An(x) and Euler polynomials En(x) have a sequence of values in common (up 
to a binary shift). Let Bn(x) denote the Bernoulli polynomials and ζ(n) the Riemann Zeta function.
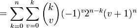
 denotes the Stirling numbers of the second kind. The formulas below show how rich in content the Eulerian polynomials 
are.
 
denotes the Stirling numbers of the second kind. The formulas below show how rich in content the Eulerian polynomials 
are. 
| A155585 for all n ≥ 0 | 
|  | 
|  | 
|  | 
|  | 
|  | 
|  | 
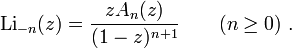
Eulerian polynomials are related to the polylogarithm
 
 For nonpositive integer values of s, the polylogarithm is a rational function. The first few are


A plot of these functions in the complex plane is given in the gallery [5] below.
|   |   |   |   | 
In general the explicit formula for nonpositive integer s is
 
 See also DLMF and the section on series representations of the polylogarithm on Wikipedia. However, note that the conventions on Wikipedia do not conform to the DLMF definition of the Eulerian polynomials.
This article was originally written for the OeisWiki. Thanks to Daniel Forgues for editorial help. It is also available in pdf format.
